Key findings
- Red grouse lay earlier in warmer springs.
- Between 1992 and 2011 average laying dates in Strathspey in the Scottish Highlands advanced by 0.5 days/year.
- Earlier clutches were larger and chick survival was greater in earlier nesting attempts.
- However chick survival was also higher in years with lower May temperatures and lower August temperatures in the previous year, with the latter probably related to the prey abundance in subsequent breeding season
- Although laying dates are advancing climate change does not currently appear to be having an overall effect on chick survival within the climate range of the study
- We need to find out if laying dates are advancing in other areas of the UK and determine if earlier laying will, at some point in the future, overlap with the end of the heather burning period.
Changes in our climate have been linked to earlier breeding in several birds in the UK, but most studies have been on lowland passerines. Our long-term research with red grouse gives us an opportunity to look at the timing of breeding in an upland species. As an all year resident on moorland, grouse are likely to be one of the earlier nesting species and more capable of adapting to climate change compared to species which over-winter elsewhere such as curlew, golden plover and lapwing. It is particularly important that we look at grouse laying dates on moorland to ensure that management techniques, such as heather burning do not disrupt earlier breeders.
Since 1992, we have radio-tagged hen grouse in Upper Strathspey as part of our long-term monitoring. Once found, nests were visited, without flushing the hen, on alternative days to estimate the hatching date. Once hatch date is known, we can calculate when egg laying began by subtracting the incubation period and the number of eggs laid (eggs are laid daily). In this way, we calculated first egg dates for 497 clutches across a twenty-year time span. The first-egg dates and the clutch sizes were compared to spring temperatures recorded at a meterological station located at Dalwhinnie within 16km of all nests and within 6km of three-quarters of nests.
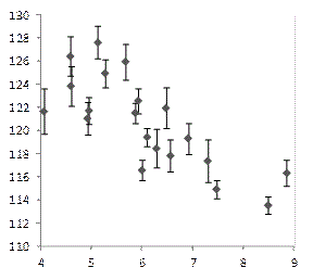
The spring temperature measure calculated was the average daily temperature for the 30-day period when hen grouse are increasing in weight prior to laying. Between 1992 and 2011 the mean daily temperature in spring varied from 4.1 to 8.9°C, showing a near-significant increase in spring temperature over the 20-year period. Over the same period, the annual mean first-egg date varied between 24th April and 8th May (Fig 1). In warmer springs, birds laid earlier (Fig 2), resulting in laying occurring 4.5 days earlier in 2011 than in 1992 at an average rate of 0.24 days per year (95% Confidence Intervals = -0.01 - 0.46)). This earlier on-set of laying is at a rate comparable with other UK bird species.
Figure 1: Average first-egg date for red grouse nesting in Strathspey from 1992 to 2011

Figure 2: Mean first-egg date compared to spring daily temperature

The number of eggs laid and the proportion of young raised was higher when hens laid earlier. Although these results suggest that grouse may produce more young in warmer springs we would expect this to be complicated by other factors such as predation, strongyle worms and weather conditions and food availability during chick-rearing.
Earlier breeding could be a problem if it meant that significant numbers of grouse laid clutches before the end of the permissible heather burning season. If the trend recorded in Strathspey was to continue, we would predict that it would be at least another 40 years before the earliest 10% of nests were laid before the 15th April, the current deadline for heather burning below 1,500 feet.
We hope to extend our studies to compare historic data on laying dates from sites across the UK to newly collected information to determine if the trend recorded in Strathspey is also found in other areas of the UK. We also hope to collate records of burning dates from gamekeepers to find out if self-regulation occurs; i.e., gamekeepers stop burning earlier in warm springs due to evidence of grouse breeding or due to heather becoming too dry to burn safely.
This study was published in 2013 in Ibis 155: 456-463.
Acknowledgements
Work was undertaken with monies donated to GWCT including from Garnett Trust and Peter Samuel Trust.