By Professor John Holland, Head of the Farmland Ecology Unit

As spring approaches and birds are starting to breed it’s time to consider whether they will be able to find sufficient food for their chicks. Rather like going to the supermarket after BREXIT! The majority of farmland birds feed their young on invertebrates (insects and spiders) because they are a rich source of protein and fat, but the media these days is full of stories about insect declines. Indeed, are own long-term monitoring studies in Sussex and at Loddington are showing that the total number of invertebrates have declined by about half since the 1970s, but most of this decline occurred before the 1970s and have remained lower since then.
There is though considerable variation between different groups of invertebrates with some increasing, some remaining stable and some declining. The measure we use for the grey partridge is an index that is comprised of six groups of insects identified as important in chick survival. This index has shown a decrease of 50% since 1970. For this index we also have a target level which is the minimum needed to ensure sufficient chicks survive to maintain a population of grey partridge. We don’t have such a target level for any other bird species.
However, more recently we developed a general bird food index that is comprised of the groups of insects consumed by the majority of farmland birds, each multiplied by their approximate weight. When we collect invertebrate samples we can calculate these indices for each habitat so at least we can make a standardised comparison between habitat types.

Our research has shown that crops and non-crop habitats on farmland all support varying levels of invertebrates. However, it is not only their densities that are important for birds but also whether they can be caught which depends on the vegetation structure and accessibility for birds. This is especially true for game bird chicks being so small and vulnerable to chilling. They need a fairly open structure that dries quickly after rain, which is why the conservation headland approach was developed.
In this approach, agrochemicals are used sparingly or not at all to allow the weeds under the crop to survive, whilst the crop provides shelter from avian predators. It’s the weeds that support most of the invertebrates, more on this below. However, after decades of herbicide use, weed communities are not what they used to be and instead we are looking towards establishing specific brood rearing mixes. There are several mixes on the market although none have been tested to determine whether they are delivering sufficient invertebrates. This is something we would like to rectify.

Other habitats also support invertebrates and we have sampled many of these over the years, along with crops. Most crops these days support insufficient invertebrates to maintain a population of grey partridge, typical levels of grey partridge chick food index (GP CFI) are typically about 0.2 for cereals, root crops and grassland, 0.4-0.6 for winter oilseed rape, spring beans and peas, all below the target level of 0.7. Even if crops are grown organically, only spring beans exceeded this target in recent years. In terms of food for a wider range of farmland birds, the same patterns were found as for the GP CFI, although spring oats and spring beans had the highest levels on some farms. The legume crops and clover leys score well mainly because of the pests associated with them, thus if insecticides are used their value will decrease.

Figure 1. Level of grey partridge chick food in six habitats. (Insect-rich cover was cereal and vetch)
Of the non-crop habitats, flower-rich grassy habitats and pollen and nectar mixes always support high densities of invertebrates and usually well exceed the GP CFI target level (see Fig .1), however, such vegetation may be too dense for foraging chicks or adult birds that forage on the ground. Wild bird seed mixes and some game covers (but not maize) are highly variable and can exceed the GP CFI but not always. Their value depends on the species in the mix, with plants (especially brassicas) that have crop pests such as weevils and beetles boosting the chick food and also on the levels of weeds. The vegetation structure again influences which birds can make use of them.

When wild bird seed mixes are established can also determine their value. Autumn sown mixes ensure that some growth is present when birds start foraging, but there is less choice of plants whilst spring-sown ones can have insufficient cover in dry springs, as occurs more frequently these days. On sites that have a rich diversity of weeds, the conservation headland approach (now known as unharvested headlands) can support sufficient invertebrates, as can annually cultivated margins for rare arable plants or natural regeneration. If few weeds are present within a conservation headland then broadcasting mustard, which supports many insects, can help remedy the situation.
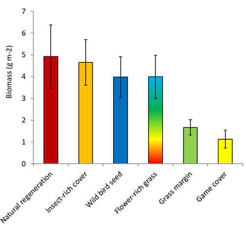
If the aim is to encourage a broad suite of farmland birds then the choice of habitats is different as it will be the adults that foraging and some are capable of collecting invertebrates from a taller range of plants. When we compared the biomass of invertebrates in different habitats the results were different to those of the grey partridge index (Figure 2), with grass margins and game cover performing poorly.

Figure 2. Estimated biomass of invertebrates in six habitats.
So can I make some recommendations as to what are the best mixes, well as scientists frustratingly often say “it depends.” The inherent levels and diversity of weeds is one crucial factor. Weeds differ in the number of insects they support, their agronomic importance and whether their seeds are liked by farmland birds. Taking these factors into account we ranked weeds into their overall level of desirability (Figure 3).
The soil type and local weather is also important influencing weed communities, but also whether autumn or spring sowing is better. If brood rearing cover is to help encourage grey partridge then low growing plants from which the chick can collect insects are best, for example mustard, clover and vetches, with some taller plants to provide cover. If provision of wild bird seed is important then kale is one of the seeds most preferred by farmland birds and second year kale can provide cover and an abundance of weeds, as can some of the other wild bird seed mixes. Overall though “don’t put your eggs in one basket” and provide a variety of habitats to ensure at least some deliver each year and locate these near to where birds are likely to be nesting to reduce the effort they spend finding food and reduce the time nests are left unattended.

Figures 1 & 2 from: Holland, J. M., Storkey, J., Lutman, P. J. W., Birkett, T. C., Simper, J., Aebischer, N.J. (2014) Utilisation of agri-environment scheme habitats to enhance invertebrate ecosystem service providers. Agriculture, Ecosystems & Environment 183, 103-109.